X-SEED® consistency ensuring reproducible bioprocesses for enzyme manufacturing
Reproducibility is paramount for robust bioprocess development and commercial manufacturing, such as recombinant protein production. Fermentation processes can often require precise control because minor variations in raw materials or operating conditions can alter cell growth, metabolism and protein expression thereby influencing product yield and quality. Given this inherent sensitivity in biological systems, it is essential to maintain batch-to-batch consistency of raw materials for process robustness.
The results presented in this study clearly demonstrate the outstanding batch-to-batch consistency and functional reliability of Ohly’s X-SEED® yeast extracts for recombinant protein production.
- Analysis of up to 150 X-SEED® batches shows minimal variability in key parameters such as protein content, free amino acids, product colour and overall bioburden.
- Biological assays with model hosts expressing recombinant enzymes confirm reproducible performance across batches supporting robust fermentation and consistent product yields.
- Across multiple microbial hosts and fermentation runs, X-SEED® KAT consistently enabled robust cell growth, stable induction responses and efficient protein expression.
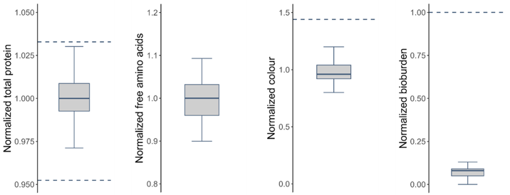
Normalized values for (L to R) total protein, free amino acids, colour, and bioburden across up to 150 independent batches.

Data from analyses of X-SEED® KAT (n = 154 for total protein, n = 52 for free amino acids, n = 120 for colour, and n = 156 for bioburden) were used to assess parameter consistency. All data points were normalized to the median of their respective datasets, except for bioburden, which was normalized to the upper specification limit. Dashed lines indicate the normalized specification limits.
Download Application Note
To read in full, please complete the form below to download the application note.